O reajuste das passagens das linhas que circulam no Entorno do DF vão ficar mais caras a partir da 0h deste domingo (25/2)
Os novos valores das passagens das linhas de ônibus que circulam no Entorno do Distrito Federal foram divulgados pela Agência Nacional de Transportes Terrestres (ANTT) nesta sexta-feira (23/2). O reajuste médio será de 8,56% e começa a valer às 0h deste domingo (25/2).
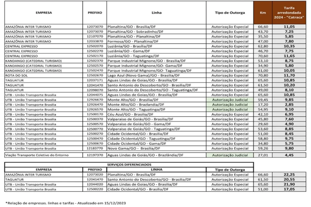
Os custos das tarifas atualizadas vão variar de R$ 4,45 a R$ 22,25.
Confira a tabela de tarifas:

Dois aumentos em 2023
No ano passado, a ANTT reajustou duas vezes a passagem em duas ocasiões: em março (12%) e em agosto (15%).
A ANTT é responsável, desde fevereiro de 2023, pela gestão das mais de 400 linhas de ônibus que realizam um transporte diário de cerca de 175 mil passageiros entre os trechos.
O transporte semiurbano entre o Distrito Federal e o Entorno não é subsidiado pelo governo e os recursos para manutenção do serviço vêm integralmente das tarifas pagas pelos usuários, diz a ANTT. Esses recursos são destinados a cobrir os gastos operacionais, incluindo manutenção, aquisição de veículos e folha de pagamento, entre outros.
Logo após assumir o comando das linhas, a Agência optou por não conceder reajuste imediato de 40% a fim de evitar um grande impacto no bolso da população.
Os índices de reajuste, como elevação nos valores de combustível, óleo lubrificante, pneus e do Índice de Preços ao Consumidor Amplo (IPCA) acumulado dificultaram, na visão da ANTT, a manutenção do preço das tarifas.
Com informações do Metrópoles
Quer ficar por dentro do que acontece em Taguatinga, Ceilândia e região? Siga o perfil do TaguaCei no Instagram, no Facebook, no Youtube, no Twitter, e no Tik Tok.
Faça uma denúncia ou sugira uma reportagem sobre Ceilândia, Taguatinga, Sol Nascente/Pôr do Sol e região por meio dos nossos números de WhatsApp: (61) 9 9916-4008 / (61) 9 9825-6604.
- “Nós vamos derrotar o crime organizado”, afirma Lula
- Encurralado pela economia global, Trump vê ‘colapso da hegemonia dos EUA’ com continuidade da guerra
- Lula diz que vai levar jabuticaba para “acalmar” Trump
- STM autoriza coleta de dados sobre trajetória de Bolsonaro no Exército
- Governo descarta criação da Terrabras e prioriza setor privado